Armenian ARMSCII Armenian
Առաջին ընթերցում
Կ-291-14.06.2008-ՖՎ-010/1

ՀԱՅԱՍՏԱՆԻ ՀԱՆՐԱՊԵՏՈՒԹՅԱՆ
ՕՐԵՆՔԸ

ՍՊԱՌՈՂԱԿԱՆ ԿՐԵԴԻՏԱՎՈՐՄԱՆ ՄԱՍԻՆ

Սույն օրենքի նպատակը Հայաստանի Հանրապետությունում սպառողական կրեդիտավորման պայմանագրերի կողմ հանդիսացող կամ սպառողական կրեդիտավորումից օգտվելու ցանկություն ունեցող սպառողների իրավունքների պաշտպանությունը, կրեդիտավորման համակարգի զարգացումը եւ միասնական կանոնների սահմանումը, ֆինանսական միջնորդության ավելացումը եւ ֆինանսական համակարգի նկատմամբ սպառողների վստահության բարձրացումն է:

ԳԼՈՒԽ 1. ԸՆԴՀԱՆՈՒՐ  ԴՐՈՒՅԹՆԵՐ

Հոդված 1. Օրենքի կարգավորման առարկան

Սույն օրենքը կարգավորում է կրեդիտավորման պայմանագրերից բխող հարաբերությունները, դրանց տեսակների առանձնահատկությունները եւ պարտադիր պայմանները, կրեդիտավորման պայմանագրերով տարեկան փաստացի տոկոսադրույքի հաշվարկման կարգը եւ պայմանները, կրեդիտավորողի պատասխանատվությունը, կրեդիտավորման պայմանագրերով սպառողների իրավունքները եւ այդ պայմանագրերի հետ կապված այլ հարաբերություններ:

Հոդված 2. Օրենքում օգտագործվող հիմնական հասկացությունները

1. Սույն օրենքի եւ սույն օրենքի հիման վրա ընդունված այլ իրավական ակտերի իմաստով՝

1) կրեդիտ՝ պարտավորության տարաժամկետ վճարման իրավունք, վարկ, փոխառություն, ֆինանսական վարձակալություն (լիզինգ) կամ որեւէ այլ համաձայնություն կամ պայմանավորվածություն, որի նպատակը ապրանքների, ծառայությունների կամ աշխատանքների ձեռքբերումը ֆինանսավորելն է.

2) կրեդիտավորող՝ բանկ, օտարերկրյա բանկի մասնաճյուղ, վարկային կազմակերպություն կամ գրավատուն, որը տրամադրում է կրեդիտ.

3) կրեդիտավորման պայմանագիր՝ գործարք, որով կրեդիտավորողը սպառողին տրամադրում կամ խոստանում է տրամադրել կրեդիտ.

4) մատակարար՝ ապրանքները վաճառող կամ ծառայություններ մատուցող կամ աշխատանքներ կատարող ֆիզիկական կամ իրավաբանական անձ.

5) տարեկան փաստացի տոկոսադրույք (Annual Percentage Rate կամ APR)՝ սպառողի կրեդիտավորման ընդհանուր ծախսը՝ արտահայտված տրամադրված կրեդիտի տարեկան տոկոսով եւ հաշվարկված հիմք ընդունելով սույն օրենքի 13-րդ հոդվածում նշված բանաձեւը.

6) սպառող՝ բացառապեu անձնական, ընտանեկան, տնային կամ այլ oգտագործման համար նախատեuված, ձեռնարկատիրական գործունեության հետ չկապված, ապրանքների (աշխատանքների, ծառայությունների) պատվիրման կամ ձեռքբերման նպատակով կրեդիտ ստացող քաղաքացի.

7) սպառողի կրեդիտավորման ընդհանուր ծախսը՝ բոլոր տոկոսներն ու այլ վճարումները, որոնք սպառողը պարտավոր է վճարել (կատարել) կրեդիտավորման համար.

8) օվերդրաֆտ՝ բանկի կողմից կրեդիտի տեսքով, սպառողական նպատակով  բանկային, ավանդային կամ այլ հաշվի վրա տրամադրված գումար կամ այդպիսի գումարի տրամադրման խոստում, այդ թվում՝ վճարային քարտերով.

9) վարկային քարտով կրեդիտավորման պայմանագիր՝ կրեդիտավորման պայմանագիր, որով կրեդիտավորողը անկախ բանկային, ավանդային կամ այլ հաշվի առկայությունից  մշտական հիմունքներով սպառողին տրամադրում է նախապես հաստատված սահմանաչափով վերականգնվող կամ չվերականգնվող վարկային գիծ՝ վարկային քարտի միջոցով սպառողի գնումները, այլ վճարումները, ինչպես նաեւ կանխիկի պահանջը ֆինանսավորելու նպատակով.

10) Ֆինանսական համակարգի հաշտարար՝ «Ֆինանսական համակարգի հաշտարարի մասին» Հայաստանի Հանրապետության օրենքով սահմանված անձ:

Հոդված 3. Բացառություն կազմող կրեդիտավորման պայմանագրերը

Սույն օրենքով սահմանված պահանջները չեն տարածվում՝

1) այն կրեդիտավորման պայմանագրերի վրա, որոնց համար նախատեսված չէ որեւէ տոկոսի կամ այլ հատուցման վճարում (կատարում).

2) հարյուր հազար դրամը չգերազանցող եւ տասը  միլիոն դրամը գերազանցող կրեդիտավորման պայմանագրերի վրա.

3)  այն կրեդիտավորման պայմանագրերի վրա, որոնք հիմնականում նախատեսված են հողի կամ գոյություն ունեցող կամ կառուցվող կամ կառուցվելիք շենքի (շինության) կամ բնակարանի նկատմամբ սեփականության իրավունքի ձեռքբերման կամ պահպանման նպատակով.

4) այն կրեդիտավորման պայմանագրերի վրա, որոնք նախատեսում են կրեդիտի տրամադրում շենքի (շինության) կամ  բնակարանի վերանորոգման, վերակառուցման կամ բարելավման նպատակով.

5) վարձակալության պայմանագրերի վրա, բացառությամբ այն դեպքերի, երբ այդ պայմանագրերով նախատեսված է, որ վարձակալության օբյեկտի նկատմամբ սեփականության իրավունքն անցնելու է վարձակալին: Ամեն դեպքում սույն օրենքի գործողությունը չի տարածվում սույն հոդվածի 3-րդ կետում նշված գույքի վարձակալության պայմանագրերի վրա:

ԳԼՈՒԽ 2. ԿՐԵԴԻՏԱՎՈՐՄԱՆ ՊԱՅՄԱՆԱԳՐԵՐԸ

Հոդված 4. Կրեդիտավորման պայմանագրերը

1. Կրեդիտավորման պայմանագիրը պետք է կնքվի գրավոր:

2. Սպառողը պետք է պարտադիր ստանա կրեդիտավորման պայմանագրի մեկ բնօրինակ:

3. Կրեդիտավորման պայմանագիրը պետք է նվազագույնը ներառի՝

1) տարեկան փաստացի տոկոսադրույքի չափի վերաբերյալ նշում,

2) տարեկան փաստացի տոկոսադրույքը փոխելու կարգի, պայմանների եւ ժամկետների վերաբերյալ նշում,

3) հնարավորության դեպքում կրեդիտը մարելու նպատակով սպառողի կողմից վճարման ենթակա վճարումների, տոկոսների եւ այլ պարտադիր վճարների գումարի չափի, թվի, հաճախականության կամ ժամկետների, ինչպես նաեւ այդ վճարումների ամբողջ (ընդհանուր) գումարի չափի վերաբերյալ նշում,

4) ապահովագրության, գնահատման եւ այլ օժանդակ ծառայությունների գնի մասին նշում, եթե այդ օժանդակ ծառայություններից օգտվելը հանդիսանում է կրեդիտավորման պայմանագիրը կնքելու կամ գովազդվող տարեկան փաստացի տոկոսադրույքը ստանալու նախապայման եւ այդ ծառայությունների շահառուն հանդիսանում է կրեդիտավորողը, կամ կրեդիտավորողը սահմանում է այն անձանց շրջանակը, որոնց հետ սպառողն իրավունք ունի կնքել օժանդակ ծառայությունների մատուցման պայմանագրեր,

5) սպառողի կողմից իր պարտավորությունները չկատարելու կամ ոչ պատշաճ կատարելու համար կրեդիտավորողի կողմից կիրառվող պատասխանատվության միջոցների (տուժանքի կամ սպառողի վիճակը վատթարացնող ցանկացած այլ միջոցների), դրանց կիրառման դեպքերի եւ կարգի վերաբերյալ նշումներ,

6) սույն օրենքի 10-րդ հոդվածում նշված սպառողի իրավունքի վերաբերյալ նշում,

7) մտածելու ժամանակի մասին նշում,

8) ըստ կրեդիտավորման պայմանագրի տեսակի սույն օրենքով եւ Հայաստանի Հանրապետության կենտրոնական բանկի (այսուհետ՝ Կենտրոնական բանկ) նորմատիվ իրավական ակտերով սահմանված տեղեկությունների, պայմանների, կարգի եւ ժամկետների վերաբերյալ նշումներ:

4. Կենտրոնական բանկն իր նորմատիվ իրավական ակտերով կարող է կրեդիտավորման պայմանագրերում բացահայտվող որոշ տեղեկությունների համար սահմանել պարտադիր կիրառման ենթակա տեքստեր կամ օրինակելի տարբերակներ կամ այլ նվազագույն պահանջներ:

5. Կրեդիտավորման պայմանագրի պայմանները պետք է շարադրվեն պարզ գրական հայերենով:

Հոդված 5. Ապրանքների, ծառայությունների եւ աշխատանքների գնումը ֆինանսավորելու նպատակով կրեդիտավորման պայմանագրերը

1. Բացի սույն օրենքի 4-րդ հոդվածի 3-րդ մասով նախատեսված պայմաններից եւ նշումներից, ապրանքների, ծառայություններ եւ աշխատանքների գնումը ֆինանսավորելու նպատակով կրեդիտավորման պայմանագրերը պետք է ներառեն՝

1) կրեդիտավորման պայմանագրով ֆինանսավորվող ապրանքների, ծառայությունների կամ աշխատանքների նկարագրությունը,

2) կրեդիտավորման պայմանագրով ձեռք բերվող ապրանքի, ծառայության կամ աշխատանքի գինը, ինչպես նաեւ նույն ապրանքի, ծառայության կամ աշխատանքի գինը առանց կրեդիտավորման (cash price),

3) նախավճարի կամ ապահովման միջոց հանդիսացող դեպոնացվելիք այլ գումարի չափը,

4) տարաժամկետ վճարումների կամ կանխավճարների եւ այլ վճարների չափը եւ դրանց վճարման ամսաթիվը, ամիսը եւ տարին,

5) այն դեպքում, երբ պայմանագրի կնքման պահին ապրանքների նկատմամբ սեփականության իրավունքը սպառողին չի անցնելու, այդ ապրանքների սեփականատիրոջ վերաբերյալ տեղեկություններ, ինչպես նաեւ այդ ապրանքների սեփականության իրավունքը սպառողին անցնելու կարգն ու պայմանները,

6) պարտավորության կատարման ապահովման միջոցի նկարագրությունը դրա առկայության դեպքում,

7) այն դեպքում, երբ սպառողը պարտավոր է կրեդիտավորման պայմանագրի գործողության ընթացքում հատուկ հաշվի վրա միջոցներ դեպոնացնել, ապա կրեդիտավորման պայմանագիրը պետք է նաեւ տեղեկություններ պարունակի դեպոնացվելիք միջոցների չափի, ժամկետների, դրանց օգտագործման կարգի եւ այլ պայմանների մասին,

8) այն դեպքում, երբ սույն հոդվածի 3-րդ եւ (կամ) 4-րդ կետերում նշված պայմաններն ու տեղեկությունները հնարավոր չէ կրեդիտավորման պայմանագրի կնքման պահին որոշել, ապա կրեդիտավորման պայմանագիրը պետք է տեղեկություններ պարունակի դրանք որոշելու կարգի ու պայմանների մասին:

Հոդված 6. Վարկային քարտերով կրեդիտավորման պայմանագրերը

1. Բացի սույն օրենքի 4-րդ հոդվածի 3-րդ մասով նախատեսված պայմաններից եւ նշումներից, վարկային քարտերով կրեդիտավորման պայմանագրերը պետք է ներառեն՝

1) վարկային քարտով տրամադրվող կրեդիտի առավելագույն սահմանաչափը,

2) կրեդիտի վերադարձման պայմանները կամ դրանց որոշման կարգը:

2. Վարկային քարտը կարող է տրամադրվել սպառողին միայն վերջինիս գրավոր համաձայնության առկայության դեպքում:

Հոդված 7. Օվերդրաֆտ պարունակող կամ օվերդրաֆտի համար հիմք հանդիսացող պայմանագրերը

1. Բացի սույն օրենքի 4-րդ հոդվածի 3-րդ մասով նախատեսված պայմաններից եւ նշումներից, օվերդրաֆտ պարունակող կամ օվերդրաֆտի համար հիմք հանդիսացող պայմանագրերը պետք է ներառեն՝

1) օվերդրաֆտի առավելագույն սահմանաչափի մասին նշում,

2) օվերդրաֆտի օգտագործման եւ վերադարձման պայմանների մասին նշում,

3) օվերդրաֆտ պարունակող կամ օվերդրաֆտի համար հիմք հանդիսացող պայմանագիրը լուծելու ընթացակարգը, պայմաններն ու ժամկետները:

Հոդված 8. Սույն օրենքի կարգավորման առարկա հանդիսացող այլ կրեդիտավորման պայմանագրերը.

1. Բացի սույն օրենքի 4-րդ հոդվածի 3-րդ մասով նախատեսված պայմաններից եւ նշումներից, սույն օրենքի կարգավորման առարկա հանդիսացող այլ կրեդիտավորման պայմանագրերը պետք է ներառեն՝

1) տրամադրվող կրեդիտի առավելագույն սահմանաչափը,

2) պարտավորության կատարման ապահովման միջոցի առկայության դեպքում դրա նկարագրությունը,

3) կրեդիտի օգտագործման եւ վերադարձման պայմանները:

ԳԼՈՒԽ 3. ՍՊԱՌՈՂԻ ԻՐԱՎՈՒՆՔՆԵՐԸ

Հոդված 9. Կրեդիտավորման պայմանագիրը լուծելու սպառողի իրավունքը

1. Սպառողն իրավունք ունի առանց որեւէ պատճառաբանության միակողմանիորեն լուծել կրեդիտավորման պայմանագիրը դրա կնքմանը հաջորդող 7 աշխատանքային օրվա ընթացքում, եթե կրեդիտավորման պայմանագրով ավելի երկար ժամկետ նախատեսված չէ (մտածելու ժամանակ): Այդ դեպքում սպառողը պարտավոր է կրեդիտի գումարը օգտագործելու համար կրեդիտավորողին վճարել տոկոսներ, որոնք հաշվարկվում են կրեդիտավորման պայմանագրով նախատեսված տարեկան փաստացի տոկոսադրույքին համապատասխան: Կրեդիտավորման պայմանագրի լուծման հետ կապված որեւէ այլ հատուցում սպառողից պահանջվել չի կարող:

2. Սպառողն իրավունք ունի սույն հոդվածի 1-ին մասով սահմանված կարգով լուծել կրեդիտավորման պայմանագիրը նաեւ այն դեպքում, երբ լուծվել է կրեդիտի միջոցով ֆինանսավորվող առուվաճառքի կամ ծառայությունների մատուցման կամ աշխատանքների կատարման պայմանագիրը:

Հոդված 10. Կրեդիտավորման պայմանագրով ունեցած պարտավորությունները ժամկետից շուտ կատարելու սպառողի իրավունքը

1. Սպառողն իրավունք ունի կրեդիտավորման պայմանագրով ունեցած պարտավորությունները ժամկետից շուտ կատարել (մարել)՝ անկախ այն հանգամանքից, թե նման իրավունք կրեդիտավորման պայմանագրով նախատեսված է թե ոչ:

2. Սպառողի կողմից կրեդիտավորման պայմանագրով ունեցած պարտավորությունները ժամկետից շուտ կատարելու (մարելու) դեպքում համամասնորեն նվազեցվում է սպառողի կրեդիտավորման ընդհանուր ծախսը:

3. Սպառողի սույն հոդվածի 1-ին եւ 2-րդ մասերով նախատեսված իրավունքը սահմանափակող, ինչպես նաեւ սույն հոդվածի 4-րդ մասով նախատեսված պատասխանատվության միջոցներ սահմանող համաձայնությունն առոչինչ է:

4. Սպառողի սույն հոդվածի 1-ին եւ 2-րդ մասերով նախատեսված իրավունքն իրականացնելու դեպքում կրեդիտավորողի կողմից չեն կարող կիրառվել պատասխանատվության միջոցներ (տուժանք կամ սպառողի վիճակը վատթարացնող ցանկացած այլ միջոց):

Հոդված 11. Կրեդիտավորողի իրավունքները փոխանցելու հետեւանքները

Կրեդիտավորողի իրավունքները այլ անձի փոխանցելու դեպքում սպառողն իրավունք ունի՝

1) նոր կրեդիտավորողին ներկայացնել այն բոլոր առարկությունները, որոնք նա ունեցել է uկզբնական կրեդիտավորողի դեմ՝ նոր կրեդիտավորողին իրավունքների անցման մաuին ծանուցում uտանալու պահին.

2) կատարել հանդիպակաց պարտավորությունների հաշվանց, եթե օրենքով այլ բան նախատեսված չէ:

Հոդված 12. Պարտատիրոջը պահանջներ ներկայացնելու սպառողի իրավունքը

1.Սպառողն իրավունք ունի «Սպառողների իրավունքների պաշտպանության մասին» Հայաստանի Հանրապետության օրենքով, այլ օրենքներով եւ իրավական ակտերով, ինչպես նաեւ պայմանագրով սահմանված պահանջները ներկայացնել անմիջապես կրեդիտավորողին այն դեպքում, երբ՝

1) ապրանքներ գնելու կամ ծառայություններ կամ աշխատանքներ ստանալու նպատակով սպառողը կրեդիտավորման պայմանագիր է կնքել մատակարար չհանդիսացող անձի հետ, եւ

2) մինչեւ սույն մասի 1-ին կետում նշված պայմանագրի կնքումը կրեդիտավորողի եւ մատակարարի միջեւ կնքվել է գրավոր պայմանագիր, որով կրեդիտավորողը համաձայնվել է տվյալ մատակարարի հաճախորդներին եւ կոնտրագենտներին տրամադրել կրեդիտ՝ տվալ մատակարարից ապրանքներ գնելու կամ ծառայություններ կամ աշխատանքներ ստանալու նպատակով, կամ սպառողը ապրանքների կամ ծառայությունների կամ աշխատանքների դիմաց վճարելիս օգտագործել է կրեդիտավորողի կողմից տրամադրված վարկային քարտը, եւ

3) կրեդիտավորման պայմանագրով կամ այդ պայմանագրի հիման վրա տրամադրված կրեդիտի միջոցով գնված ապրանքները, ծառայությունները կամ աշխատանքները չեն ստացվել (մատուցվել) կամ մասնակի են ստացվել (մատուցվել) կամ չեն համապատասխանում օրենքով եւ (կամ) ապրանքների, ծառայությունների կամ աշխատանքների գնումն ապահովող գործարքով սահմանված պահանջներին, եւ

4) սպառողը բարեխղճորեն փորձել է օրենքով կամ պայմանագրով իրեն վերապահված իրավունքներն իրականացնել ու պահանջները ներկայացնել, սակայն մատակարարը օրենքով եւ պայմանագրով սահմանված կարգով եւ սահմաններում չի կատարել օրենքով կամ պայմանագրով սահմանված պարտավորությունները:

2. Եթե սպառողն իրավուքն ունի ապրանքը վերադարձնել մատակարարին եւ սույն հոդվածի 1-ին մասով սահմանված կարգով պահանջ է ներկայացնում կրեդիտավորողին, ապա վերջինս կարող է չընդունել ապրանքը, եթե՝

1) չի պահպանվել ապրանքի փաթեթավորումը, կամ

2) ապրանքն օգտագործվել է օրենքներով, այլ իրավական ակտերով կամ ապրանքն ուղեկցող փաստաթղթերով սահմանված պահանջների խախտմամբ:

ԳԼՈՒԽ 4. ՏԱՐԵԿԱՆ ՓԱՍՏԱՑԻ ՏՈԿՈՍԱԴՐՈՒՅՔԻ ՀԱՇՎԱՐԿՈՒՄԸ

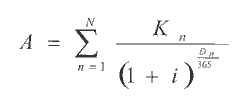
Հոդված 13. Տարեկան փաստացի տոկոսադրույքի հաշվարկման բանաձեւը եւ բացատրությունները

Տարեկան փաստացի տոկոսադրույքը հաշվարկվում է՝ հիմք ընդունելով հետեւյալ բանաձեւը.

 

որտեղ՝

i - տարեկան փաստացի տոկոսադրույք (APR).

A - կրեդիտի  գումարը (կրեդիտավորողի կողմից վարկառուին տրամադրված կրեդիտի սկզբնական գումար).

n -  կրեդիտի մարմանն ուղղված վճարի թիվը.

N - կրեդիտի մարմանն ուղղված վերջին վճարի թիվը.

Kn-կրեդիտի մարմանն ուղղված n-րդ վճարի գումարը.

Dn -կրեդիտի տրամադրման օրից մինչեւ կրեդիտի մարմանն ուղղված n-րդ վճարի կատարման օրը ընկած ժաանակահատվածը՝  արտահայտված օրերի թվով.

i -ն՝ տարեկան փաստացի տոկոսադրույքը կարող է հաշվարկվել, եթե հավասարման մյուս տվյալները հայտնի են կրեդիտավորման պայմանագրից կամ այլ կերպ:

Հոդված 14. Տարեկան փաստացի տոկոսադրույքի հաշվարկման կարգը

1. Տարեկան փաստացի տոկոսադրույքը հաշվարկվում է կրեդիտավորման պայմանագրի կնքման պահին՝ ենթադրելով, որ կրեդիտավորման պայմանագիրը գործելու է պայմանավորված ժամկետում եւ պայմանագրի կողմերը պատշաճ կերպով եւ պայմանավորված ժամկետներում կատարելու են պայմանագրով ստանձնած պարտավորությունները:

2. Այն դեպքում, երբ կրեդիտավորման պայմանագիրը պարունակում է դրույթներ, որոնք թույլատրում են տոկոսների եւ (կամ) սպառողի կրեդիտավորման ընդհանուր ծախսի մեջ ներառվող այլ վճարների քանակի կամ չափի փոփոխություններ կամ տատանումներ եւ հնարավոր չէ այդ փոփոխություններին տալ գումարային արտահայտություն, ապա տարեկան փաստացի տոկոսադրույքը պետք է հաշվարկվի ենթադրելով, որ տոկոսները եւ (կամ) սպառողի կրեդիտավորման ընդհանուր ծախսի մեջ ներառվող այլ վճարները մնալու են կայուն եւ կիրառվելու են մինչեւ կրեդիտավորման պայմանագրի գործողության ավարտը:

3. Տարեկան փաստացի տոկոսադրույքը հաշվարկելիս անհրաժեշտության պարագայում գործում են հետեւյալ սկզբունքները.

1) կրեդիտավորման պայմանագրով կրեդիտի առավելագույն սահմանաչափը սահմանված չլինելու դեպքում տրամադրված կրեդիտի առավելագույն չափը 1 միլիոն դրամն է.

2) եթե կրեդիտավորման պայմանագրով նախատեսված է, որ սպառողը կարող է կրեդիտի գումարը ստանալ մաս առ մաս կամ կարող է ընտրել կրեդիտի գումարը ստանալու պահը, ապա համարվում է, որ կրեդիտի գումարը սպառողին փոխանցվել է ամբողջությամբ կրեդիտավորման պայմանագիրը կնքելու պահին.

3) կրեդիտավորման պայմանագրով կրեդիտի վերադարձման ժամանակացույց կամ կրեդիտավորման պայմանագրի դրույթներով վերադարձման ժամկետներ եւ միջոցներ սահմանված չլինելու դեպքում կրեդիտի վերադարձման ժամկետը մեկ տարի է.

4) այն դեպքում, երբ կրեդիտավորման պայմանագիրը սահմանում է կրեդիտի վերադարձման մեկից ավելի ժամկետներ, ապա կրեդիտի վերադարձը պետք է կատարվի կրեդիտավորման պայմանագրով սահմանված ամենաշուտ ժամկետում, եթե այլ բան նախատեսված չէ կրեդիտավորման պայմանագրով:

4. Կենտրոնական բանկն իր նորմատիվ իրավական ակտերով կարող է սահմանել սույն օրենքի 13-րդ հոդվածով սահմանված բանաձեւի եւ տարեկան փաստացի տոկոսադրույքի հաշվարկման բացատրություններ եւ օրինակներ:

Հոդված 15. Սպառողի կրեդիտավորման ընդհանուր ծախսի մեջ չներառվող վճարները

1. Սպառողի կրեդիտավորման ընդհանուր ծախսի մեջ չեն ներառվում հետեւյալ վճարները.

1) օրենքով եւ կրեդիտավորման պայմանագրով նախատեսված պարտավորությունների չկատարման կամ ոչ պատշաճ կատարման համար վճարված կամ վճարվելիք տուժանքները եւ այլ վճարները.

2) այն վճարները, որոնք սպառողի կողմից ենթակա են վճարման անկախ ապրանքների, ծառայությունների կամ աշխատանքների դիմաց վճարումը կրեդիտով կամ առանց կրեդիտի (cash price) կատարելու հանգամանքից.

3) այն վճարները, որոնք սպառողը կատարում է կրեդիտի մարման եւ տոկոսների վճարման նպատակով կատարվող փոխանցումների համար, ինչպես նաեւ այդ նպատակով բացված հաշիվների սպասարկման համար, բացառությամբ այն դեպքերի, երբ սպառողը այդ հարցերում չունի ողջամիտ այլընտրանք, եւ նման վճարները գերազանցում են համապատասխան վճարների համար Հայաստանի Հանրապետությունում կիրառվող միջին վճարի չափի 1.5-ապատիկը: Կենտրոնական բանկը որպես վիճակագրական տվյալ հայտարարում է սույն կետում նշված վճարների համար Հայաստանի Հանրապետությունում կիրառվող միջին վճարների չափը.

4) կազմակերպություններին, միություններին կամ այլ խմբերին (բացառությամբ նրանց, որոնց հիմնադիրը կամ մասնակիցը կրեդիտավորողն է) անդամակցելու կամ բաժանորդագրվելու համար նախատեսված վճարները, որոնք բխում են կրեդիտավորման պայմանագրի մաս չհանդիսացող պայմանագրերից՝ նույնիսկ այն դեպքում, երբ կրեդիտի պայմանները կախված են նման անդամակցումից կամ բաժանորդագրումից.

5) ապահովագրության, գնահատման եւ այլ օժանդակ ծառայությունների դիմաց կատարվող վճարները, բացառությամբ այն դեպքերի, երբ այդ ծառայություններից օգտվելը հանդիսանում է կրեդիտավորման պայմանագիրը կնքելու կամ գովազդվող տարեկան փաստացի տոկոսադրույքը ստանալու նախապայման եւ

ա. այդ ծառայությունների շահառուն հանդիսանում է կրեդիտավորողը, կամ

բ. կրեդիտավորողը սահմանում է այն անձանց շրջանակը, որոնց հետ սպառողն իրավունք ունի կնքել օժանդակ ծառայությունների մատուցման պայմանագրեր:

ԳԼՈՒԽ 5. ԳՈՎԱԶԴԸ ԵՎ ՀԱՂՈՐԴԱԿՑՈՒՄԸ

Հոդված 16. Գովազդը.

1. Որեւէ գովազդ, հայտարարություն, առաջարկ, օֆերտա կամ օֆերտա անելու հրավեր, որը կատարվում է կրեդիտավորողի գործունեության վայրում կամ կրեդիտավորողի կամ այլ ինտերնետային կայքում կամ զանգվածային տեղեկատվության էլեկտրոնային կամ տպագիր միջոցներով կամ գովազդի, հայտարարության, առաջարկի կամ օֆերտայի տարածման այլ եղանակով եւ որը պարունակում է տոկոսների չափի կամ կրեդիտի տրամադրման վերաբերյալ որեւէ այլ վճարի կամ ծախսի վերաբերյալ նշում, պետք է ներառի տարեկան փաստացի տոկոսադրույքի չափը, ընդ որում՝ այն դեպքում, երբ հնարավոր չէ սպառողների համար ողջամիտ ձեւով հասու դարձնել տարեկան փաստացի տոկոսադրույքի չափը, ներկայացվում է դրա  հաշվարկման օրինակը:

2. Հայաստանի Հանրապետությունում իրականացվող կամ ինտերնետ ցանցում տեղադրված որեւէ գովազդ, հայտարարություն, առաջարկ, օֆերտա կամ օֆերտա անելու հրավեր չպետք է լինի շփոթեցուցիչ, խրթին կամ մոլորեցնող:

Հոդված 17. Կրեդիտավորողի եւ սպառողի հաղորդակցումը

1. Կրեդիտավորողի եւ սպառողի միջեւ ցանկացած հաղորդակցում, որը կապված է կրեդիտավորման պայմանագրի պայմանների կամ կողմերի միջեւ հաղորդակցման կարգի կամ կողմերի իրավունքների, պարտականությունների կամ պատասխանատվության սահմանման, փոփոխման կամ դադարեցման հետ կամ վերաբերվում է կրեդիտավորման պայմանագրի վրա որեւէ ազդեցություն ունեցող օրենքներին, նորմատիվ իրավական ակտերին կամ կրեդիտավորողի ներքին ակտերին պետք է կատարվի գրավոր եղանակով՝ փոստային կապի միջոցով, բացառությամբ սույն հոդվածի 3-րդ մասում նշված դեպքերի: Ընդ որում, սույն մասում նշված տեղեկատվությունը համարվում է պարտադիր ներկայացման տեղեկատվություն:

2. Կրեդիտավորողը պարտավոր է իր կողմից կամ կրեդիտավորման պայմանագրով սահմանված պարբերականությամբ, բայց ոչ պակաս քան երեսնօրյա պարբերականությամբ սպառողին ներկայացնել կրեդիտավորման պայմանագրից բխող սպառողի պարտավորությունների եւ դրանց առաջացման հիմքերի եւ մարումների վերաբերյալ գրավոր տեղեկատվություն, այդ թվում՝ սպառողի կողմից իր պարտավորությունները չկատարելու կամ ոչ պատշաճ կատարելու համար կրեդիտավորողի կողմից կիրառվող կամ կիրառված պատասխանատվության միջոցների (տուժանքի կամ սպառողի վիճակը վատթարացնող ցանկացած այլ միջոցների) սպառիչ ցանկը, դրանց կիրառման դեպքերն ու կարգը՝ փոստային կապի միջոցով, բացառությամբ սույն հոդվածի 3-րդ մասում նշված դեպքերի:

3.Սպառողը իր գրավոր, այդ թվում՝ էլեկտրոնային եղանակով ներկայացված դիմումի հիման վրա կարող է հրաժարվել սույն հոդվածի 1-ին եւ 2-րդ մասերով սահմանված տեղեկատվությունը փոստային կապի միջոցով ստանալու իրավունքից՝ պարտադիր ներկայացման տեղեկատվությունը էլեկտրոնային կամ կապի այլ միջոցներով կամ բանկի տարածքում ստանալու պայմանով: Պարտադիր ներկայացման տեղեկատվությունը էլեկտրոնային կամ կապի այլ միջոցներով կամ բանկի տարածքում ստանալու սպառողի իրավունքը սահմանափակող պայմանը կամ համաձայնությունն առոչինչ է: Ընդ որում, կրեդիտավորողն իրավունք չունի սպառողին պարտադրել, այդ թվում՝ սպառողի համար ոչ բարենպաստ իրավիճակ ստեղծել, որպեսզի սպառողը հրաժարվի պարտադիր ներկայացման տեղեկատվությունը փոստային կապով ստանալու իր իրավունքից:

4. Եթե պարտադիր ներկայացման տեղեկատվությունը սպառողին պետք է հանձնվի բանկի տարածքում, ապա բանկը պարտավոր է առնվազն 3 տարի թղթային կամ էլեկտրոնային կրիչի վրա պահպանել սպառողի կողմից չպահանջված տեղեկատվությունը:

5. Սպառողների իրավունքների պաշտպանության նպատակից ելնելով Կենտրոնական բանկը իր նորմատիվ իրավական ակտերով կարող է սահմանել սույն հոդվածով նախատեսված հաղորդակցման կարգ, պայմաններ, ձեւեր եւ նվազագույն պահանջներ:

ԳԼՈՒԽ 6. ՍՊԱՌՈՂՆԵՐԻ ԻՐԱՎՈՒՆՔՆԵՐԻ ՊԱՇՏՊԱՆՈՒԹՅՈՒՆԸ, ՎԵՐԱՀՍԿՈՂՈՒԹՅՈՒՆԸ ԵՎ ՍՈՒՅՆ ՕՐԵՆՔԸ ԽԱԽՏԵԼՈՒ ՀԱՄԱՐ ՊԱՏԱՍԽԱՆԱՏՎՈՒԹՅՈՒՆԸ

Հոդված 18. Սպառողների իրավունքների դատական, արբիտրաժային, ինչպես նաեւ Ֆինանսական համակարգի հաշտարարի միջոցով պաշտպանությունը

1. Սպառողների՝ սույն օրենքով եւ այլ նորմատիվ իրավական ակտերով սահմանված իրավունքներն ենթակա են պաշտպանության դատական կարգով, իսկ օրենքով սահմանված դեպքերում՝ արբիտրաժային կարգով, ինչպես նաեւ Ֆինանսական համակարգի հաշտարարի միջոցով:

2. Եթե կրեդիտավորման պայմանագրի առնչությամբ կրեդիտավորողի եւ սպառողի միջեւ կնքվում է արբիտրաժային համաձայնություն, ապա կրեդիտավորողը պարտավոր է  սպառողի համար բացահայտել կողմերի իրավունքների ու պարտականությունների վերաբերյալ բավարար տեղեկատվություն:

3. Սպառողների իրավունքների պաշտպանության նպատակից ելնելով Կենտրոնական բանկն իր նորմատիվ իրավական ակտերով կարող է սահմանել սույն հոդվածի 2-րդ մասով նախատեսված տեղեկատվության նվազագույն պահանջներ եւ (կամ) օրինակելի ձեւ:

4. Կրեդիտավորողն իրավունք չունի կրեդիտավորման պայմանագրի կնքումը պայմանավորել արբիտրաժային համաձայնության կնքմամբ:

Հոդված 19. Կրեդիտավորողի պատասխանատվությունը

1. Կրեդիտավորողի կողմից սույն օրենքի եւ դրա հիման վրա ընդունված իրավական այլ ակտերի պահանջները 365 օրվա ընթացքում մեկ անգամ խախտելու համար Կենտրոնական բանկը կարող է նշանակել տուգանք՝ հարյուր հազար դրամի չափով:

2. Կրեդիտավորողի կողմից սույն օրենքի եւ դրա հիման վրա ընդունված իրավական այլ ակտերի պահանջները 365 օրվա ընթացքում երկու անգամ խախտելու համար Կենտրոնական բանկը կարող է նշանակել տուգանք՝ երեք հարյուր հազար դրամի չափով:

3. Կրեդիտավորողի կողմից սույն օրենքի եւ դրա հիման վրա ընդունված իրավական այլ ակտերի պահանջները 365 օրվա ընթացքում երեք եւ ավելի անգամ խախտելու համար Կենտրոնական բանկը կարող է նշանակել տուգանք՝ հինգ հարյուր հազար դրամի չափով:

4. Տուգանքը գանձվում է Կենտրոնական բանկի հայցով՝ դատարանի վճռով այն դեպքում, երբ կրեդիտավորողը համաձայն չէ տուգանքի նշանակման կամ տուգանքի չափի հետ: Տուգանքը գանձվում է հօգուտ Հայաստանի Հանրապետության պետական բյուջեի եկամուտների:

5. Սույն օրենքի կիրառման նպատակով սույն օրենքի եւ դրա հիման վրա ընդունված այլ ակտերի յուրաքանչյուր պահանջի մի քանի խախտումներ թույլ տալու դեպքում յուրաքանչյուր խախտում համարվում է առանձին խախտում:

6. Սույն հոդվածով սահմանված պատասխանատվության միջոցները Կենտրոնական բանկը կիրառում է «Հայաստանի Հանրապետության կենտրոնական բանկի մասին» Հայաստանի Հանրապետության օրենքով սահմանված կարգով:

Հոդված 20. Կրեդիտավորողի պատասխանատվությունը սպառողի առջեւ

Այն դեպքում, երբ կրեդիտավորողի կողմից խախտվել է սպառողի՝ սույն օրենքով սահմանված որեւէ իրավունք, ապա սպառողն իրավունք ունի անմիջապես դիմել դատարան կամ Ֆինանսական համակարգի հաշտարարին, իսկ օրենքով նախատեսված դեպքում՝ առեւտրային արբիտրաժ: Կրեդիտավորողի ծառայություններից օգտվող սպառողի իրավունքների խախտման փաստը հաստատվելու դեպքում դատարանի վճռով կամ Ֆինանսական համակարգի հաշտարարի որոշմամբ հօգուտ սպառողի բռնագանձվում է երեք հարյուր հազար դրամ: Ընդ որում, սույն հոդվածով նախատեսված սպառողի իրավունքը չի կարող մեկնաբանվել որպես վնասների հատուցում պահանջելու սպառողի իրավունքը սահմանափակող կամ բացառող դրույթ:

Հոդված 21. Վերահսկողությունը սույն օրենքի պահանջների կատարման նկատմամբ

Սույն օրենքի պահանջների կատարման նկատմամբ վերահսկողությունն իրականացնում է Կենտրոնական բանկը:

ԳԼՈՒԽ 8. ԱՆՑՈՒՄԱՅԻՆ ԴՐՈՒՅԹՆԵՐ

Հոդված 22. Անցումային դրույթներ

1. Սույն օրենքն ուժի մեջ է մտնում պաշտոնական հրապարակման օրվանից վեց ամիս հետո՝ բացառությամբ սույն օրենքի 12-րդ հոդվածի, որն ուժի մեջ է մտնում պաշտոնական հրապարակման օրվանից հինգ տարի հետո:

Սույն օրենքը չի տարածվում մինչեւ սույն օրենքի ուժի մեջ մտնելը կնքված կրեդիտավորման պայմանագրերի վրա, բացառությամբ այն դեպքի, երբ մինչեւ սույն օրենքի ուժի մեջ մտնելը կնքված կրեդիտավորման պայմանագրի էական պայմաններից թեկուզեւ մեկը փոփոխվում է: Մինչեւ սույն օրենքի ուժի մեջ մտնելը կնքված կրեդիտավորման պայմանագրի էական պայմաններից թեկուզեւ մեկը փոփոխվելու դեպքում ամբողջ կրեդիտավորման պայմանագիրը պետք է համապատասխանեցվի սույն օրենքի պահանջներին: